2019年一級建造師教材已經(jīng)上市,同時考生朋友們也該進入一級建造師預習備考階段,為考試做好充分的準備,今天就為大家整理了一建經(jīng)濟的有效利率的計算這一知識點,供考生參考學習!
有效利率的計算
【例】某借款100000元,借期2年,每個季度計息一次,利率為1%。問到期后的本利和應為多少?
【解】第一種算法(按年度利率-單利計算)
=100000×(1+1%×4×2)=108000(元);
第二種算法(按年度利率-復利計算)
=100000×(1+1%×4)2=108160(元);
第三種算法(按季度利率-復利計算)
=100000×(1+1%)4×2=108285.67(元)。
1. 名義利率的計算
◇名義利率的計算公式(r=i×m)
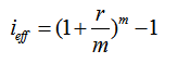
2. 有效利率的計算
(1)計息周期有效利率(r/m)
(2)年有效利率
◆計算公式
◇理論上的可能性:m=1;m<1;m>1。
3. 計息周期小于資金收付周期時的等值計算
(1)按(收付周期)實際利率計算
(2)按計息周期利率計算
以上就是建設工程教育網(wǎng)為大家提供的一建經(jīng)濟知識點、考點,建設工程教育網(wǎng)將持續(xù)關注2019年一級建造師考試的相關信息。更多2019年一級建造師考試內容,盡在建設工程教育網(wǎng)一級建造師欄目!






![[em2_01]](https://live.cdeledu.com/web/images/emoji/01.png)
![[em2_02]](https://live.cdeledu.com/web/images/emoji/02.png)
![[em2_03]](https://live.cdeledu.com/web/images/emoji/03.png)
![[em2_04]](https://live.cdeledu.com/web/images/emoji/04.png)
![[em2_05]](https://live.cdeledu.com/web/images/emoji/05.png)
![[em2_06]](https://live.cdeledu.com/web/images/emoji/06.png)
![[em2_07]](https://live.cdeledu.com/web/images/emoji/07.png)
![[em2_08]](https://live.cdeledu.com/web/images/emoji/08.png)
![[em2_09]](https://live.cdeledu.com/web/images/emoji/09.png)
![[em2_10]](https://live.cdeledu.com/web/images/emoji/10.png)
![[em2_11]](https://live.cdeledu.com/web/images/emoji/11.png)
![[em2_12]](https://live.cdeledu.com/web/images/emoji/12.png)
![[em2_13]](https://live.cdeledu.com/web/images/emoji/13.png)
![[em2_14]](https://live.cdeledu.com/web/images/emoji/14.png)
![[em2_15]](https://live.cdeledu.com/web/images/emoji/15.png)
![[em2_16]](https://live.cdeledu.com/web/images/emoji/16.png)
![[em2_17]](https://live.cdeledu.com/web/images/emoji/17.png)
![[em2_18]](https://live.cdeledu.com/web/images/emoji/18.png)
![[em2_19]](https://live.cdeledu.com/web/images/emoji/19.png)
![[em2_20]](https://live.cdeledu.com/web/images/emoji/20.png)





掃一掃立即下載
掃碼添加老師